| A) 360, 160, 200 | B) 160, 360, 200 |
| C) 200, 360,160 | D) 200,160,300 |
| A) 65.25 | B) 56.25 |
| C) 65 | D) 56 |
| A) 4% of a | B) 6% of a |
| C) 8% of a | D) 10% of a |
| A) 20 | B) 30 |
| C) 40 | D) 50 |
| A) Rs. 169.50 | B) Rs.1700 |
| C) Rs. 175.50 | D) Rs. 180 |
| A) 35 | B) 38 |
| C) 40 | D) 42 |
| A) 200, 250, 300 | B) 300, 200, 250 |
| C) 200, 300, 400 | D) None of these |
| A) 10000 | B) 12000 |
| C) 14000 | D) 16000 |
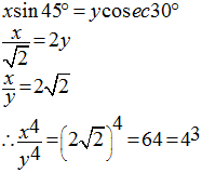
तो

| A) No profit, no loss | B) 5% |
| C) 8% | D) 10% |
,तो
का मान है?
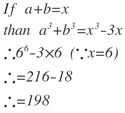
| A) 6 % | B) 8 % |
| C) 10 % | D) 12 % |