Prem's Career Coaching
Phone No. +91-9302959282, RAIPUR, Chattisgarh

[ Online Quiz ] Maths For Banking PO/Clerk/SSC/Vyapam/Railway /Etc 6 October 2019
Posted on Sat, 5 Oct 2019, 9:40 AM
प्रिय छात्रों,
     .         आप सभी को यह पता है कि आगामी कुछ दिवस में व्यापम/ रेलवे द्वारा विभिन्न पदों पर परीक्षा आयोजित होने वाली है ,क्योंकि अब आपके पास अधिक समय शेष नहीं है इसलिए आप हमारे द्वारा प्रदान किए गए ,गणित के अधिक से अधिक प्रश्नों का अभ्यास कर अपनी तैयारी को सर्वोत्तम स्तर तक ले जाएं । जिससे कि आप परीक्षा में अधिक से अधिक अंक प्राप्त कर अपनी सफलता सुनिश्चित कर सके।
Questions Are :-
Question 1 :
एक व्यापारी वस्तु का अंकित मूल्य लागत मूल्य से 40% अधिक अंकित करता है तथा उस पर 20% छूट देता है उसका लाभ प्रतिशत क्या है ?

A trader marks 40% more than the cost price of the article and gives 20% discount on it. What is his profit percentage?
A. 20%
B. 10%
C. 8%
D. 12%

Option's are: Selection Type : Single Selection
Option 1
A
Option 2
B
Option 3
C
Option 4
D


Question 2 :
तीन संख्या में पहली और दूसरी का अनुपात 8:9 है तथा दूसरी और तीसरी का अनुपात 3:4 है .यदि पहली और तीसरी संख्या का गुणनफल 2400 है तो दूसरी संख्या क्या है.

The ratio of the first and the second in the three numbers is 8: 9 and the ratio of the second and the third is 3: 4. If the product of the first and third numbers is 2400, what is the second number.

A. 45
B. 40
C. 30
D. 55

Option's are: Selection Type : Single Selection
Option 1
A
Option 2
B
Option 3
C
Option 4
D


Question 3 :
किसी कक्षा में 40 विद्यार्थियों की औसत आयु 15 वर्ष है .जब 10 नए छात्र कक्षा में शामिल हो जाते हैं तो औसत आयु 0.2 वर्ष बढ़ जाती है .नए छात्रों का औसत कितना है ?

The average age of 40 students in a class is 15 years. When 10 new students join the class, the average age increases by 0.2 years. What is the average of the new students?

A. 15.2
B. 16
C. 16.2
D. None of these

Option's are: Selection Type : Single Selection
Option 1
A
Option 2
B
Option 3
C
Option 4
D


Question 4 :
एक दुकानदार सामान खरीदते समय 20% बेईमानी करता है और बेचते समय 30% बेईमानी करता है .उसका लाभ प्रतिशत क्या है ?

A shopkeeper cheats 20% while buying goods and 30% cheating while selling. What is his profit percentage?
A. 50%
B. 36%
C. 56%
D. None of these

Option's are: Selection Type : Single Selection
Option 1
A
Option 2
B
Option 3
C
Option 4
D


Question 5 :
दो रेल गाड़ी एक ही दिशा में क्रमशः 30 किलोमीटर प्रति घंटे और 58 किलोमीटर प्रति घंटे की गति से चल रही है ।धीमी गति से चलने वाली गाड़ी में बैठा व्यक्ति तीव्र गति से चलने वाली रेलगाड़ी को 18 सेकंड में पार करता है । तीव्र गति वाली रेलगाड़ी की लंबाई क्या है ? 

Two train trains running in the same direction at speeds of 30 kilometers per hour and 58 kilometers per hour respectively. A person sitting in a slow-moving train crosses a fast-moving train in 18 seconds.  What is the length of the high speed train?
A. 70 MTR
B. 100 MTR
C. 128 MTR
D. None of these

Option's are: Selection Type : Single Selection
Option 1
A
Option 2
B
Option 3
C
Option 4
D


Question 6 :
किसी विद्यालय के 40% विद्यार्थी फुटबॉल खेलते हैं ,50% विद्यार्थी क्रिकेट खेलते हैं और 18% विद्यार्थी न तो फुटबॉल खेलते हैं और ना ही क्रिकेट खेलते हैं ,तो कितने प्रतिशत विद्यार्थी दोनों खेल खेलते है ?

40% of the students of a school play football, 50% students play cricket and 18% students neither play football nor play cricket, then what percentage of students play both sports.
A. 40%
B. 22%
C. 32 %
D. None of these

Option's are: Selection Type : Single Selection
Option 1
a
Option 2
b
Option 3
c
Option 4
d


Question 7 :
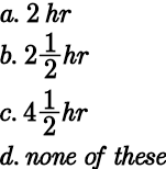
एक लड़का 2 घंटा 30 मिनट में 20 किलोमीटर की दूरी तय करता है .यदि उसकी गति दोगुनी हो जाए तो वह 32 किलोमीटर की दूरी तय करने में कितना समय लेगा ?


A boy covers a distance of 20 kilometers in 2 hours and 30 minutes. If his speed is doubled, how much time will he take to cover a distance of 32 kilometers?
img


Option's are: Selection Type : Single Selection
Option 1
a
Option 2
b
Option 3
c
Option 4
d


Question 8 :
.5 विद्यार्थियों के गणित में प्राप्त अंकों का औसत 50 था. बाद में पता चला कि एक विद्यार्थी के प्राप्तांक 48 के बजाय गलती से 84 लिखे गए हैं ,तो सही औसत क्या है ?

The average of the marks obtained in mathematics of 5 students was 50.  It was later discovered that a student's scores were written 84 by mistake instead of 48, so what is the correct average?

A. 40.2
B. 40.8
C. 48.2
D. None of these

Option's are: Selection Type : Single Selection
Option 1
A
Option 2
B
Option 3
C
Option 4
D


Question 9 :
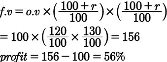
एक दुकानदार वस्तु को लागत कीमत पर बेचने का दावा करता है लेकिन वह 1 किलोग्राम के बजाए सिर्फ 875 ग्राम के बाट का प्रयोग करता है .उसका लाभ प्रतिशत क्या है ?

A shopkeeper claims to sell the item at cost price but he uses only 875 gram weights instead of 1 kg. What is his profit percentage?
img


Option's are: Selection Type : Single Selection
Option 1
a
Option 2
b
Option 3
c
Option 4
d


Question 10 :
महेश और सुरेश की आय का अनुपात 4:3 है ,जबकि उनके खर्च का अनुपात 3:2 है. यदि प्रत्येक के द्वारा ₹600 की बचत होती है, तो महेश की वार्षिक आय क्या है ?

Mahesh and Suresh's income ratio is 4: 3, while their expense ratio is 3: 2.  If each saves ₹ 600, what is Mahesh's annual income?
A. 1200
B. 2400
C. 4800
D. 1800

Option's are: Selection Type : Single Selection
Option 1
a
Option 2
b
Option 3
c
Option 4
d




Prem's Career Coaching
Phone No. +91-9302959282, RAIPUR, Chattisgarh