Prem's Career Coaching
Phone No. +91-9302959282, RAIPUR, Chattisgarh

[ Online Quiz ] Maths 4 October (Vyapam/Railway/IBPS)
Posted on Fri, 4 Oct 2019, 1:50 AM
Very important question for NTPC/SSC/Vyapam/Group D etc.
Questions Are :-
Question 1 :
एक वस्तु को ₹2700 में बेचने पर एक व्यक्ति को 10% हानि होती है यदि उसे ₹3600 में बेचा जाए तो उसका लाभ प्रतिशत क्या होगा ?

A person has a loss of 10% on selling an item for ₹ 2700. If he is sold for ₹ 3600, what will be his profit percentage?
A. 15% 
B. 18% 
C. 20% 
D. 25%

Option's are: Selection Type : Single Selection
Option 1
A
Option 2
B
Option 3
C
Option 4
D


Question 2 :
वह न्यूनतम संख्या क्या है जिसे 2940 से गुणा करने पर वह पूर्ण वर्ग बन जाएगा?
What is the minimum number that is multiplied by 2940 to become a perfect square?
A. 10
B. 15
C. 20
D. 35

Option's are: Selection Type : Single Selection
Option 1
A
Option 2
B
Option 3
C
Option 4
D


Question 3 :
एक परीक्षा में 150 प्रश्न है, जिसमें से पहले 90 प्रश्नों में से नेहा ने 40% के उत्तर सही दिए .यदि संपूर्ण परीक्षा में उसे 60% अंक प्राप्त करना हो तो शेष प्रश्नों में से कितने प्रतिशत प्रश्नों के उत्तर सही देने होंगे ?

An exam has 150 questions, out of which the first 90 questions, Neha gave 40% correct answers. If she wants to get 60% marks in the entire exam, what percentage of the remaining questions will have to be answered correctly?
A. 75%
B. 80%
C. 90%
D. None of these

Option's are: Selection Type : Single Selection
Option 1
A
Option 2
B
Option 3
C
Option 4
D


Question 4 :
किसी संख्या का छठा भाग 53 है .इस संख्या का 57% कितना होगा ?

The sixth part of a number is 53. What will be 57% of this number?
A. 136.74
B. 149.46
C. 181.26
D. 197.16

Option's are: Selection Type : Single Selection
Option 1
A
Option 2
B
Option 3
C
Option 4
D


Question 5 :
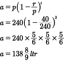
एक बर्तन में 240 लीटर शराब है.  प्रतिदिन 40 लीटर शराब निकाल ली जाती है और उतनी ही मात्रा में पानी मिला दिया जाता है .3 दिन बाद उसने कितनी शराब बची रहेगी ?

There is 240 liters of alcohol in a vessel.  40 liters of alcohol is extracted daily and the same amount of water is added. How much alcohol will remain after 3 days?
img


Option's are: Selection Type : Single Selection
Option 1
A
Option 2
B
Option 3
C
Option 4
D


Question 6 :
एक आदमी अपने बेटे से 24 साल बड़ा है. 4 साल बाद वह अपने बेटे का दोगुना होगा. पिता की वर्तमान आयु क्या है.
A man is 24 years older than his son.  After 4 years he will be double of his son.  What is the present age of the father.

A. 24
B. 44
C. 18
D. 16

Option's are: Selection Type : Single Selection
Option 1
A
Option 2
B
Option 3
C
Option 4
D


Question 7 :
4 किलोमीटर प्रति घंटे की गति से चलते हुए व्यक्ति को 70 मीटर अर्ध व्यास के वृत्ताकार बाप के 2 चक्कर लगाने में कितना समय लगेगा ? 
Running at a speed of 4 kilometers per hour, how long will it take a person to make 2 rounds of a circular circle of 70 meters diameter.

A. 10 मिनट 12 सेकंड 
B. 13 मिनट 12 सेकंड 
C. 15 मिनट 12 सेकंड 
D. 18 मिनट 15 सेकंड

Option's are: Selection Type : Single Selection
Option 1
A
Option 2
B
Option 3
C
Option 4
D


Question 8 :
229301 में 9 के स्थानीय मान और जातीय मान में क्या अंतर है
What is the difference between local value of 9 and ethnic value of 9 in 229301

A. 9292
B. 8991
C. 0
D. 220

Option's are: Selection Type : Single Selection
Option 1
A
Option 2
B
Option 3
C
Option 4
D


Question 9 :
यदि x सम संख्या है तो अगली सम संख्या क्या होगी ?
img


Option's are: Selection Type : Single Selection
Option 1
A
Option 2
B
Option 3
C
Option 4
D


Question 10 :
दो संख्याओं का लघुत्तम 168 है तथा महत्तम 6 है .यदि एक संख्या 24 है तो दूसरी संख्या ज्ञात करें ?
The LCM of two numbers is 168 and the HCF is 6. If one number is 24, find the other number.

A. 36
B. 38
C. 40
D. 42

Option's are: Selection Type : Single Selection
Option 1
A
Option 2
B
Option 3
C
Option 4
D




Prem's Career Coaching
Phone No. +91-9302959282, RAIPUR, Chattisgarh