Prem's Career Coaching
Phone No. +91-9302959282, RAIPUR, Chattisgarh

[ Online Quiz ] Maths 1 October (Vyapam/Railway/IBPS)
Posted on Mon, 30 Sep 2019, 10:00 AM
प्रिय छात्रों,
     .         आप सभी को यह पता है कि आगामी कुछ दिवस में व्यापम/ रेलवे द्वारा विभिन्न पदों पर परीक्षा आयोजित होने वाली है ,क्योंकि अब आपके पास अधिक समय शेष नहीं है इसलिए आप हमारे द्वारा प्रदान किए गए ,गणित के अधिक से अधिक प्रश्नों का अभ्यास कर अपनी तैयारी को सर्वोत्तम स्तर तक ले जाएं । जिससे कि आप परीक्षा में अधिक से अधिक अंक प्राप्त कर अपनी सफलता सुनिश्चित कर सके।
Questions Are :-
Question 1 :
पहली संख्या का 6/11 भाग ,दूसरी संख्या के 22% के बराबर है .दूसरी संख्या तीसरी संख्या के एक चौथाई के बराबर है .यदि तीसरी संख्या 2400 है । तो पहली संख्या का 45% कितना होगा।

The 6/11 part of a  first number is equal to 22% of the second number. The second number is equal to a quarter of the third number. If the third number is 2400.  So what will be 45% of the first number.
A. 109.8
B. 111.7
C. 117.6
D. None of these


Option's are: Selection Type : Single Selection
Option 1
A
Option 2
B
Option 3
C
Option 4
D


Question 2 :
एक परीक्षा में एक उम्मीदवार को अधिकतम अंक में से 468 अंक मिलते हैं यदि अधिकतम अंक को 700 कर दिया जाए तो उसे 336 मिलते हैं । परीक्षा का अधिकतम अंक कितना था।

In a test, a candidate gets 468 marks out of maximum marks, if the maximum marks is reduced to 700, then he gets 336.  What was the maximum mark of the exam.
A. 980
B. 975
C. None of these
D. Cannot be determined


Option's are: Selection Type : Single Selection
Option 1
A
Option 2
B
Option 3
C
Option 4
D


Question 3 :
5 कुर्सी और 3 टेबल की कीमत ₹3110 है .एक कुर्सी की कीमत टेबल की कीमत से ₹210 कम है. तो 2 टेबल और 2 कुर्सी की कीमत क्या है.

The cost of 5 chairs and 3 tables is ₹ 3110. The price of one chair is ₹ 210 less than the price of the table.  So what is the cost of 2 tables and 2 chairs.

A. 1860
B. 1680
C. 1660
D. None of these


Option's are: Selection Type : Single Selection
Option 1
A
Option 2
B
Option 3
C
Option 4
D


Question 4 :
राम मोहन और राज की वर्तमान आयु का अनुपात 3:4:5 है .उनके वर्तमान औसत आयु  28 वर्ष है।  5 वर्ष बाद राम और मोहन की आयु का योग क्या है।

The ratio of the present ages of Ram Mohan and Raj is 3: 4: 5. Their present average age is 28 years.  What is the sum of ages of Ram and Mohan after 5 years.
A. 55
B. 59
C. 49
D. None of these

Option's are: Selection Type : Single Selection
Option 1
A
Option 2
B
Option 3
C
Option 4
D


Question 5 :
एक वृत्त और एक आयत का क्षेत्रफल समान है ,जो कि 1166 वर्ग सेंटीमीटर है .वृत्त का व्यास 28 सेंटीमीटर है .आयत की लंबाई 25 सेंटीमीटर है .तो वृत्त की परिधि और आयत के परिमाप का योग क्या है.

The area of ​​a circle and a rectangle is the same, which is 1166 square centimeters. The diameter of the circle is 28 centimeters. The length of the rectangle is 25 centimeters. So what is the sum of the circumference of the circle and the perimeter of the rectangle.
A. 234.8
B. 230.8
C. None of these
D. Cannot be determined

Option's are: Selection Type : Single Selection
Option 1
A
Option 2
B
Option 3
C
Option 4
D


Question 6 :
रमन को एक परीक्षा में 456 अंक मिलते हैं .इस परीक्षा में सीता को 54% अंक मिलते हैं जो रमन से 24 अंक कम है। यदि उत्तीर्ण होने के लिए 34% अंकों की आवश्यकता होती है तो रमन को उत्तीर्णांक से कितने अंक अधिक है।

Raman gets 456 marks in an examination. In this examination Sita gets 54% marks which is 24 marks less than Raman.  If 34% marks are required to pass, then Raman will have more marks than his passing score.
A. 180
B. 184
C. 218
D. None of these

Option's are: Selection Type : Single Selection
Option 1
A
Option 2
B
Option 3
C
Option 4
D


Question 7 :
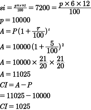
किसी राशि पर 12% वार्षिक दर से 6 साल का साधारण ब्याज ₹7200 है .उसी राशि पर 5% वार्षिक दर से 2 साल का चक्रवृद्धि ब्याज कितना होगा.

The simple interest of 6 years at 12% per annum on an amount is ₹ 7200, what will be the compound interest of 2 years at 5% per annum on the same amount.

A. 1020
B. 1035
C. 1050
D. None of these

Option's are: Selection Type : Single Selection
Option 1
A
Option 2
B
Option 3
C
Option 4
D


Question 8 :
सीमा ने एक वस्तु नोट ₹9600 में खरीद कर 5% घाटे में उसे बेच दिया. इस धन से उसने एक और वस्तु खरीदी उसे 5% लाभ पर बेच दिया .उसका कुल लाभ या हानि क्या है.

Seema bought an item note for ₹ 9600 and sold it at a loss of 5%.  With this money, he bought another item and sold it at 5% profit. What is his total profit or loss.

A. 24 ₹ profit
B. 24 ₹ loss
C. No profit no loss
D. None of these

Option's are: Selection Type : Single Selection
Option 1
A
Option 2
B
Option 3
C
Option 4
D


Question 9 :
दो संख्या का योग 11 के वर्ग और 9 के घन के योग के बराबर है. बड़ी संख्या 25 के वर्ग से 25 कम है .छोटी संख्या के 24% के दोगुने और बड़ी संख्या के आधे के योग का मूल्य कितना होगा।

The sum of two number is equal to the sum of square of 11 and cube of 9.
Largest no. Is 25 less than 252 . What will be the total of twice of 24% of smallest number and half of largest number.

A. 410
B. 400
C. 420
D. None of these


Option's are: Selection Type : Single Selection
Option 1
A
Option 2
B
Option 3
C
Option 4
D


Question 10 :
PRAISE के अक्षरों को कितने प्रकार से व्यवस्थित किया जा सकता है।

How many types of PRAISE can be arranged.
A. 600
B. 720
C. 800
D. None of these

Option's are: Selection Type : Single Selection
Option 1
A
Option 2
B
Option 3
C
Option 4
D




Prem's Career Coaching
Phone No. +91-9302959282, RAIPUR, Chattisgarh