Prem's Career Coaching
Phone No. +91-9302959282, RAIPUR, Chattisgarh

[ Online Quiz ] Maths 30 (Number series)
Posted on Sun, 29 Sep 2019, 11:33 PM
प्रिय छात्रों,
     .         आप सभी को यह पता है कि आगामी कुछ दिवस में व्यापम/ रेलवे द्वारा विभिन्न पदों पर परीक्षा आयोजित होने वाली है ,क्योंकि अब आपके पास अधिक समय शेष नहीं है इसलिए आप हमारे द्वारा प्रदान किए गए ,गणित के अधिक से अधिक प्रश्नों का अभ्यास कर अपनी तैयारी को सर्वोत्तम स्तर तक ले जाएं । जिससे कि आप परीक्षा में अधिक से अधिक अंक प्राप्त कर अपनी सफलता सुनिश्चित कर सके।
Questions Are :-
Question 1 :
1, 7, 49, 343,_____
A.  16807
B. 1227
C. 2058
D. 2401
E. None of these

Option's are: Selection Type : Single Selection
Option 1
A
Option 2
B
Option 3
C
Option 4
D
Option 5
E


Question 2 :
12, 35, 81, 173, 357, ____
A. 725
B. 715
C. 726
D. 736
E. None of these

Option's are: Selection Type : Single Selection
Option 1
A
Option 2
B
Option 3
C
Option 4
D
Option 5
E


Question 3 :
3, 100, 297, 594, 991, ____
A. 1489
B. 1479
C. 1478
D. 1498
E. None of these

Option's are: Selection Type : Single Selection
Option 1
A
Option 2
B
Option 3
C
Option 4
D
Option 5
E


Question 4 :
112, 119, 140, 175, 224, ___
A. 277
B. 276
C. 287
D. 266
E. None of these

Option's are: Selection Type : Single Selection
Option 1
A
Option 2
B
Option 3
C
Option 4
D
Option 5
E


Question 5 :


img


Option's are: Selection Type : Single Selection
Option 1
A
Option 2
B
Option 3
C
Option 4
D
Option 5
E


Question 6 :


img


Option's are: Selection Type : Single Selection
Option 1
A
Option 2
B
Option 3
C
Option 4
D
Option 5
E


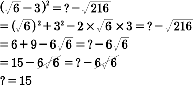
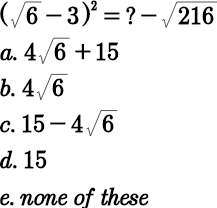
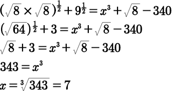
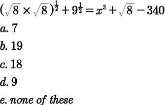
Question 7 :


img


Option's are: Selection Type : Single Selection
Option 1
A
Option 2
B
Option 3
C
Option 4
D
Option 5
E


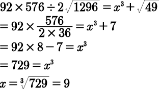
Question 8 :


img


Option's are: Selection Type : Single Selection
Option 1
A
Option 2
B
Option 3
C
Option 4
D
Option 5
E


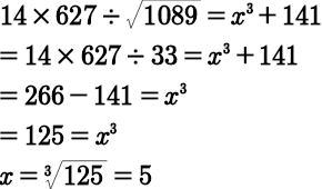
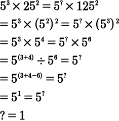
Question 9 :


img


Option's are: Selection Type : Single Selection
Option 1
A
Option 2
B
Option 3
C
Option 4
D
Option 5
E


Question 10 :


img


Option's are: Selection Type : Single Selection
Option 1
A
Option 2
B
Option 3
C
Option 4
D
Option 5
E




Prem's Career Coaching
Phone No. +91-9302959282, RAIPUR, Chattisgarh