Prem's Career Coaching
Phone No. +91-9302959282, RAIPUR, Chattisgarh

[ Online Quiz ] Maths 28 September
Posted on Thu, 26 Sep 2019, 5:41 AM
प्रिय छात्रों,
     .         आप सभी को यह पता है कि आगामी कुछ दिवस में व्यापम/ रेलवे द्वारा विभिन्न पदों पर परीक्षा आयोजित होने वाली है ,क्योंकि अब आपके पास अधिक समय शेष नहीं है इसलिए आप हमारे द्वारा प्रदान किए गए ,गणित के अधिक से अधिक प्रश्नों का अभ्यास कर अपनी तैयारी को सर्वोत्तम स्तर तक ले जाएं । जिससे कि आप परीक्षा में अधिक से अधिक अंक प्राप्त कर अपनी सफलता सुनिश्चित कर सके।
Questions Are :-
Question 1 :


img


Option's are: Selection Type : Single Selection
Option 1
A
Option 2
B
Option 3
C
Option 4
D


Question 2 :


img


Option's are: Selection Type : Single Selection
Option 1
A
Option 2
B
Option 3
C
Option 4
D


Question 3 :
राम, मोहन की तुलना में 2 गुना बेहतर काम करता हैं .यदि दोनों मिलकर काम को 14 दिन में पूरा करते हैं . तो राम अकेले काम को कितने दिन में करेगा.
A. 11 दिन 
B. 21 दिन 
C. 28 दिन 
D. 42 दिन

Ram works 2 times better than Mohan. If both together complete the work in 14 days.  So in how many days Ram will do the work alone.

 A. 11 days

 B. 21 days

 C. 28 days

 D. 42 days

Option's are: Selection Type : Single Selection
Option 1
A
Option 2
B
Option 3
C
Option 4
D


Question 4 :
महेश ने एक रेडियो उसके विक्रय मूल्य के 9/10 पर खरीदा तथा इसके विक्रय मूल्य से 8% अधिक पर बेच दिया .उसका लाभ प्रतिशत क्या है.

Mahesh bought a radio at 9/10 of its selling price and sold it at 8% more than its selling price. What is his profit percentage.
A. 25%
B. 20%
C. No profit no loss
D. None of thesw

Option's are: Selection Type : Single Selection
Option 1
A
Option 2
B
Option 3
C
Option 4
D


Question 5 :
किसी वस्तु को ₹69 के बजाय अगर ₹78 में बेचा जाए तो उसका लाभ प्रतिशत दोगुना हो जाता है. वस्तु का क्रय मूल्य क्या है.

If an item is sold for ₹ 78 instead of ₹ 69, then its profit percentage doubles.  What is the purchase price of the item.
A. 49
B. 51
C. 57
D. 60

Option's are: Selection Type : Single Selection
Option 1
A
Option 2
B
Option 3
C
Option 4
D


Question 6 :
एक विक्रेता ₹14 में 5 नींबू बेचता है तो उसे 40% लाभ होता है .उसने एक दर्जन नींबू कितने रुपए में खरीदे थे.

If a seller sells 5 lemons for ₹ 14, he gets 40% profit. How much rupees did he pay for a dozen lemons.
A. 20
B. 21
C. 24
D. 28

Option's are: Selection Type : Single Selection
Option 1
A
Option 2
B
Option 3
C
Option 4
D


Question 7 :
किसी परीक्षा में पास होने के लिए 36% अंक प्राप्त करना जरूरी है .एक छात्र को 113 अंक प्राप्त होते हैं और वह 85 अंकों से अनुत्तीर्ण हो जाता है .परीक्षा का पूर्णांक क्या है।

To pass an exam, it is necessary to get 36% marks. A student gets 113 marks and fails with 85 marks. What is the maximum marks of exam.
A. 500
B. 550
C. 565
D. 620

Option's are: Selection Type : Single Selection
Option 1
A
Option 2
B
Option 3
C
Option 4
D


Question 8 :
किसी संख्या को 387 से भाग देने पर शेषफल 48 प्राप्त होता है. यदि उसी संख्या को 43 से भाग दिया जाए तो शेषफल क्या प्राप्त होगा?

When a number is divided by 387, the remainder is 48.  If the same number is divided by 43, what will be the remainder?
A. 0
B. 5
C. 3
D. 35

Option's are: Selection Type : Single Selection
Option 1
A
Option 2
B
Option 3
C
Option 4
D


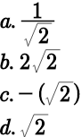
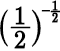
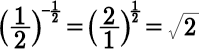
Question 9 :


imgका मान क्या  होगा/ what will be value.

img


Option's are: Selection Type : Single Selection
Option 1
A
Option 2
B
Option 3
C
Option 4
D


Question 10 :
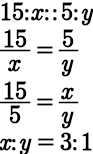
तीन व्यक्ति एक समान दूरी तय करते हैं. उनकी गति का अनुपात 4:3:5 है ,तो निश्चित दूरी तक पहुंचने में उनके द्वारा लिया गया समय का अनुपात क्या होगा.
Three people cover an equal distance.  The ratio of their speed is 4: 3: 5, then what will be the ratio of the time taken by them to reach a certain distance.
A. 10:15:13
B. 2:3:4
C. 15:20:12
D. 16:18:15

Option's are: Selection Type : Single Selection
Option 1
A
Option 2
B
Option 3
C
Option 4
D




Prem's Career Coaching
Phone No. +91-9302959282, RAIPUR, Chattisgarh