Prem's Career Coaching
Phone No. +91-9302959282, RAIPUR, Chattisgarh

[ Online Quiz ] Maths 24 september (Vyapam/Railway/IBPS)
Posted on Mon, 23 Sep 2019, 10:44 PM
प्रिय छात्रों,
     .         आप सभी को यह पता है कि आगामी कुछ दिवस में व्यापम/ रेलवे द्वारा विभिन्न पदों पर परीक्षा आयोजित होने वाली है ,क्योंकि अब आपके पास अधिक समय शेष नहीं है इसलिए आप हमारे द्वारा प्रदान किए गए ,गणित के अधिक से अधिक प्रश्नों का अभ्यास कर अपनी तैयारी को सर्वोत्तम स्तर तक ले जाएं । जिससे कि आप परीक्षा में अधिक से अधिक अंक प्राप्त कर अपनी सफलता सुनिश्चित कर सके।
Questions Are :-
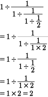
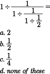
Question 1 :


img


Option's are: Selection Type : Single Selection
Option 1
A
Option 2
B
Option 3
C
Option 4
D


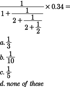
Question 2 :

img


Option's are: Selection Type : Single Selection
Option 1
A
Option 2
B
Option 3
C
Option 4
D


Question 3 :


img


Option's are: Selection Type : Single Selection
Option 1
A
Option 2
B
Option 3
C
Option 4
D


Question 4 :


img


Option's are: Selection Type : Single Selection
Option 1
A
Option 2
B
Option 3
C
Option 4
D


Question 5 :

img


Option's are: Selection Type : Single Selection
Option 1
A
Option 2
B
Option 3
C
Option 4
D


Question 6 :
निम्नलिखित में से सबसे बड़ा भिन्न कौन सा है
img


Option's are: Selection Type : Single Selection
Option 1
A
Option 2
B
Option 3
C
Option 4
D


Question 7 :


img


Option's are: Selection Type : Single Selection
Option 1
A
Option 2
B
Option 3
C
Option 4
D


Question 8 :
144 पेन बेचने पर 6 पेन के विक्रय मूल्य के बराबर हानि होती है ,हानि प्रतिशत क्या है ?
When selling 144 pens, there is a loss equal to the selling price of 6 pens, what is the loss percentage?

A. 2%
B. 8.3%
C. 4%
D. 14%

Option's are: Selection Type : Single Selection
Option 1
A
Option 2
B
Option 3
C
Option 4
D


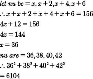
Question 9 :
चार क्रमिक सम संख्याओं का योग 156 है .इन संख्याओं के वर्गों का योग क्या है.
The sum of four consecutive even numbers is 156. What is the sum of squares of these numbers.


Option's are: Selection Type : Single Selection
Option 1
6104
Option 2
6400
Option 3
5406
Option 4
None of these


Question 10 :
 अजय की 5 साल पहले की आयु तथा 9 साल बाद की आयु का गुणनफल 15 है ,तो उसकी वर्तमान आयु क्या है ?

The product of Ajay's age 5 years ago and age 9 years later is 15, so what is his present age?

A. 5
B. 6
C. 8
D. None of these

Option's are: Selection Type : Single Selection
Option 1
A
Option 2
B
Option 3
C
Option 4
D




Prem's Career Coaching
Phone No. +91-9302959282, RAIPUR, Chattisgarh