Prem's Career Coaching
Phone No. +91-9302959282, RAIPUR, Chattisgarh

[ Online Quiz ] Maths 22 September 2019
Posted on Sun, 22 Sep 2019, 6:38 AM
प्रिय छात्रों,
     .         आप सभी को यह पता है कि आगामी कुछ दिवस में व्यापम/ रेलवे द्वारा विभिन्न पदों पर परीक्षा आयोजित होने वाली है ,क्योंकि अब आपके पास अधिक समय शेष नहीं है इसलिए आप हमारे द्वारा प्रदान किए गए ,गणित के अधिक से अधिक प्रश्नों का अभ्यास कर अपनी तैयारी को सर्वोत्तम स्तर तक ले जाएं । जिससे कि आप परीक्षा में अधिक से अधिक अंक प्राप्त कर अपनी सफलता सुनिश्चित कर सके।
Questions Are :-
Question 1 :
वह बड़ी से बड़ी संख्या क्या है जो 162 और 243 को भाग कर सकती है.
What is the largest number that can divide 162 and 243?

A. 84
B. 81
C. 82
D. 83

Option's are: Selection Type : Single Selection
Option 1
A
Option 2
B
Option 3
C
Option 4
D


Question 2 :
एक समबाहु त्रिभुज का क्षेत्रफल क्या होगा जिसकी भुजा 40 सेंटीमीटर है.

What will be the area of ​​an equilateral triangle whose side is 40 cm?



img


Option's are: Selection Type : Single Selection
Option 1
A
Option 2
B
Option 3
C
Option 4
D


Question 3 :
एक व्यक्ति अपनी पूरी यात्रा को 70 घंटे में तय करता है. वह आधी दूरी को 30 किलोमीटर प्रति घंटे की गति से तय करता है जबकि शेष दूरी को 40 किलोमीटर प्रति घंटे की गति से तय करता है .पूरी यात्रा में तय की गई दूरी क्या है.
A person covers the entire journey in 70 hours.  He covers half the distance at a speed of 30 kilometers per hour while the remaining distance is covered at a speed of 40 kilometers per hour. What is the distance covered in the entire journey.

A. 2000 km
B. 2400 km
C. 2720 km
D. 2160 km

Option's are: Selection Type : Single Selection
Option 1
A
Option 2
B
Option 3
C
Option 4
D


Question 4 :
दो संख्या का महत्त्म 29 है तथा लघुत्तम 435 है .यदि एक संख्या 145  है,तो दुसरी संख्या ज्ञात करें।
HCF of two number is 29 and their LCM is 435. If one number is 145. find the second one.
A. 58
B. 87
C. 29
D. 23

Option's are: Selection Type : Single Selection
Option 1
A
Option 2
B
Option 3
C
Option 4
D


Question 5 :
9 के प्रथम 20 गुणकों का औसत क्या होगा.
A. 86.5
B. 87.5
C. 93.5
D. 94.5

Option's are: Selection Type : Single Selection
Option 1
A
Option 2
B
Option 3
C
Option 4
D


Question 6 :
75,73,76,79,81,89,51  की माध्यिका क्या है.
What is the median of 75,73,76,79,81,89,51
A. 76
B. 79
C. 76.5
D. None of these

Option's are: Selection Type : Single Selection
Option 1
A
Option 2
B
Option 3
C
Option 4
D


Question 7 :
एक समकोण त्रिभुज के कर्ण की लंबाई सबसे छोटी भुजा की दोगुनी लंबाई से 2 मीटर कम है. यदि तीसरी भुजा सबसे छोटी भुजा से 2 मीटर अधिक है ,तो त्रिभुज के कर्ण की लंबाई क्या है.

The length of the hypotenuse of a right triangle is 2 meters less than the twice of length of the shortest side.  If the third side is 2 meters more than the shortest side, then what is the length of the hypotenuse of the triangle.
A. 8 m
B. 13 m
C. 20 m
D. 10 m

Option's are: Selection Type : Single Selection
Option 1
A
Option 2
B
Option 3
C
Option 4
D


Question 8 :
दो धनात्मक संख्या के बीच का अंतर 160 है और उन दोनों का अनुपात 5:3 है. दोनों संख्याओं का गुणनफल क्या है.

The difference between two positive numbers is 160 and the ratio between them is 5: 3.  What is the product of both numbers.
A. 96000
B. 48000
C. 144000
D. None of these

Option's are: Selection Type : Single Selection
Option 1
A
Option 2
B
Option 3
C
Option 4
D


Question 9 :

img


Option's are: Selection Type : Single Selection
Option 1
A
Option 2
B
Option 3
C
Option 4
D


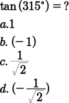
Question 10 :


img


Option's are: Selection Type : Single Selection
Option 1
A
Option 2
B
Option 3
C
Option 4
D




Prem's Career Coaching
Phone No. +91-9302959282, RAIPUR, Chattisgarh