Prem's Career Coaching
Phone No. +91-9302959282, RAIPUR, Chattisgarh

[ Online Quiz ] Reasoning 22 sep 2019
Posted on Sat, 21 Sep 2019, 10:19 AM
प्रिय छात्रों,
     .         आप सभी को यह पता है कि आगामी कुछ दिवस में व्यापम/ रेलवे द्वारा विभिन्न पदों पर परीक्षा आयोजित होने वाली है ,क्योंकि अब आपके पास अधिक समय शेष नहीं है इसलिए आप हमारे द्वारा प्रदान किए गए , Reasoning के अधिक से अधिक प्रश्नों का अभ्यास कर अपनी तैयारी को सर्वोत्तम स्तर तक ले जाएं । जिससे कि आप परीक्षा में अधिक से अधिक अंक प्राप्त कर अपनी सफलता सुनिश्चित कर सके
Questions Are :-
Question 1 :
निम्नलिखित में से कौन सा आरेख बैगन, भोजन, सब्जी को सही ढंग से प्रदर्शित करता है.
Which of the following diagram correctly represents the brinjal, food , vegetable.


img


Option's are: Selection Type : Single Selection
Option 1
A
Option 2
B
Option 3
C
Option 4
D


Question 2 :
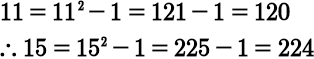
11:120::15:?
A. 224
B. 225
C. 242
D. 252

Option's are: Selection Type : Single Selection
Option 1
A
Option 2
B
Option 3
C
Option 4
D


Question 3 :
1.5, 3 ,4.5 ,6 ,7.5, 9, ___
A. 9.5
B. 10
C. 10.5
D. 11.5

Option's are: Selection Type : Single Selection
Option 1
A
Option 2
B
Option 3
C
Option 4
D


Question 4 :
A2C, B4D, C8E, D16F,____
A. E24G
B. E32F
C. E23G
D. E 36G

Option's are: Selection Type : Single Selection
Option 1
A
Option 2
B
Option 3
C
Option 4
D


Question 5 :
कथन:-
 सभी महिलाएं फूल हैं 
सभी फूल तोते हैं .
निष्कर्ष
 (1)सभी महिलाएं तोते हैं ।
(2) सभी तोते महिलाएं हैं ।
A. केवल एक निष्कर्ष अनुसरण करता है .
B. केवल दूसरा निष्कर्ष अनुसरण करता है 
C. या तो पहला या तो दूसरा निष्कर्ष अनुसरण करता है 
D. ना ही पहला निष्कर्ष और ना ही दूसरा निष्कर्ष अनुसरण करता है.

Statement:-

 All women are flowers

 All flowers are parrots.

 The conclusion

 (1) All women are parrots.

 (2) All parrots are female.

 A. Only one conclusion follows.

 B. Only the second conclusion follows

 C. Either first or second conclusion follows

 D. Neither the first conclusion nor the second conclusion follows.

Option's are: Selection Type : Single Selection
Option 1
A
Option 2
B
Option 3
C
Option 4
D


Question 6 :
रानी अपने घर से पहले 15 मीटर सामने ,फिर 15 मीटर दाएं चलती है. उसके बाद हर बार बाये मुड़ते हुए वह क्रमशः 10 मीटर, 25 मीटर और 25 मीटर चलती है .उसके घर से उसकी दूरी क्या है.

Rani walks 15 meters in front of her house, then 15 meters right.  After that, every time she turns left she walks 10 meters, 25 meters and 25 meters respectively. What is her distance from her house

A. 25 M
B. 20 M
C. 15 M
D. 10 M

Option's are: Selection Type : Single Selection
Option 1
A
Option 2
B
Option 3
C
Option 4
D


Question 7 :
8,__,40,60,60,30
A. 15
B. 20
C. 18
D. 16

Option's are: Selection Type : Single Selection
Option 1
A
Option 2
B
Option 3
C
Option 4
D


Question 8 :
0.5, 2.5, 8, 28, 117, ___
A.581
B. 591
C. 578
D. 584

Option's are: Selection Type : Single Selection
Option 1
A
Option 2
B
Option 3
C
Option 4
D


Question 9 :
In the following question, select the missing number from the given series.
निम्नलिखित प्रश्न में, दी गयी श्रृंखला में से अज्ञात संख्या का चयन करें

(a) 70
(b) 62
(c) 64
(d) 68

Option's are: Selection Type : Single Selection
Option 1
a
Option 2
b
Option 3
c
Option 4
d


Question 10 :
In a certain code language, “FAILURE” is written as “FRULIAG”. How is “SUCCESS” written in that code language?
किसी निश्चित कूट भाषा में, “FAILURE” को “FRULIAG” के रूप में लिखा जा सकता है. तो उसी कूट भाषा में, “SUCCESS” किस प्रकार लिखा जाएगा?
(a) TSECCUT
(b) SSECCUS
(c) TSECCUS
(d) TSECCUU

Option's are: Selection Type : Single Selection
Option 1
a
Option 2
b
Option 3
c
Option 4
d




Prem's Career Coaching
Phone No. +91-9302959282, RAIPUR, Chattisgarh