Prem's Career Coaching
Phone No. +91-9302959282, RAIPUR, Chattisgarh

[ Online Quiz ] Maths 15 September 2019
Posted on Sat, 14 Sep 2019, 11:54 PM
प्रिय छात्रों,
     .         आप सभी को यह पता है कि आगामी कुछ दिवस में व्यापम/ रेलवे द्वारा विभिन्न पदों पर परीक्षा आयोजित होने वाली है ,क्योंकि अब आपके पास अधिक समय शेष नहीं है इसलिए आप हमारे द्वारा प्रदान किए गए ,गणित के अधिक से अधिक प्रश्नों का अभ्यास कर अपनी तैयारी को सर्वोत्तम स्तर तक ले जाएं । जिससे कि आप परीक्षा में अधिक से अधिक अंक प्राप्त कर अपनी सफलता सुनिश्चित कर सके। 
Questions Are :-
Question 1 :
1.The compound interest on Rs. 5,000 for 3 years at 10% p.a. will amount to:
3 वर्ष के लिए 5,000रु की राशि पर 10% प्रति वर्ष पर चक्रवृधि ब्याज होगा:   
(a) Rs. 1,654
(b) Rs. 1,655
(c) Rs. 1,600
(d) Rs. 1,565

Option's are: Selection Type : Single Selection
Option 1
A
Option 2
B
Option 3
C
Option 4
D


Question 2 :
2. A boat takes half time in moving a certain distance downstream than upstream. The ratio of the speed of the boat in still water that of the current is  
एक नाव को धारा के अनुकूल निश्चित दूरी तय करने में धारा के प्रतिकूल समान दूरी तय करने में लिए गए समय का आधा समय लगता है. स्थिर गति में नाव की गति का धारा की गति से कितना अनुपात है?
(a) 2 : 1
(b) 4 : 3
(c) 1 : 2
(d) 3 : 1

Option's are: Selection Type : Single Selection
Option 1
A
Option 2
B
Option 3
C
Option 4
D


Question 3 :


img


Option's are: Selection Type : Single Selection
Option 1
A
Option 2
B
Option 3
C
Option 4
D


Question 4 :
3. Three years ago, the average age of a family of 5 members was 17 years. A baby having been born, the average of the family remains the same today. The age of the baby today is
तीन वर्ष पूर्व 5 सदस्यों वाले एक परिवार की औसत आयु 17 वर्ष थी. एक शिशु पैदा होने के बाद परिवार की औसत आज भी समान रहती है. शिशु की आयु कितनी है? 
(a) 2.5 years
(b) 2 years
(c) 1 year
(d) 1.5 years

Option's are: Selection Type : Single Selection
Option 1
A
Option 2
B
Option 3
C
Option 4
D


Question 5 :
5. Khan borrows some money at the rate of 6% p.a. for the first two years. He borrows the money at the rate of 9% p.a. for the next three years, and at the rate of 14% per annum for the period beyond five years. If he pays a total interest of Rs. 11400 at the end of nine years, how much money did he borrow?
खान पहले दो वर्षों के लिए 6% प्रति वर्ष की दर से एक निश्चित राशि उधार लेता है। वह अगले तीन वर्षों के लिए 9% प्रति वर्ष की दर से एक राशि उधार लेता है, और इन पांच वर्ष के बाद की अवधि के लिए वह 14% प्रति वर्ष की दर से राशि उधार लेता है। यदि वह नौ वर्ष के अंत में 11400 रु का कुल ब्याज भुगतान करता है, तो उसने कितनी राशि उधार ली थी?
(a) Rs. 12000 / रूपए
(b) Rs. 21000 / रूपए
(c) Rs. 37000 / रूपए
(d) Rs. 63000/ रूपए

Option's are: Selection Type : Single Selection
Option 1
A
Option 2
B
Option 3
C
Option 4
D


Question 6 :
If the angle of elevation of the Sun changes from 30° to 45°, the length of the shadow of a pillar decreases by 20 meters. The height of the pillar is.
यदि सूर्य का उन्नयन कोण 30 डिग्री से 45 डिग्री बदल जाता है, तो एक खंभे की छाया की लंबाई 20 मीटर तक घट जाती है। खंभे की ऊंचाई है।


img


Option's are: Selection Type : Single Selection
Option 1
a
Option 2
b
Option 3
c
Option 4
d


Question 7 :
There are two vertical posts, one on each side of the road, just opposite to each other. One post is 108 meters high. From the top of this post, the angles of depression of the top and foot of the other post are 30° and 60° respectively. The height of the other post, in metre, is.
सड़क के दोनों किनारे पर एक दूसरे के विपरीत दो लंबवत पोस्ट हैं. एक पोस्ट 108 मीटर ऊंचा है। इस पोस्ट के शीर्ष से, शीर्ष का अवनयन कोण दूसरे पोस्ट के पद का अवनयन कोण और क्रमश: 30 डिग्री और 60 डिग्री हैं। मीटर में दूसरे पोस्ट की ऊंचाई है।
(a) 36
(b) 72
(c) 108
(d) 110

Option's are: Selection Type : Single Selection
Option 1
a
Option 2
b
Option 3
c
Option 4
d


Question 8 :
Two poles of equal heights are standing opposite to each other on either side of a road which is 100 m wide. From a point between them on road, angles of elevation of their tops are 30° and 60°. The height of each pole in meter, in
समान ऊंचाई वाले दो ध्रुव एक दूसरे के विपरीत एक सड़क के दोनों तरफ खड़े हैं जो 100 मीटर चौड़ी है. सड़क पर उनके बीच एक बिंदु से, उनके शीर्ष के उन्नयन कोण 30 डिग्री और 60 डिग्री हैं. प्रत्येक ध्रुव की ऊंचाई मीटर में ज्ञात करो. 
(a) 25√3
(b) 20√3
(c) 28√3
(d) 30√3

Option's are: Selection Type : Single Selection
Option 1
a
Option 2
b
Option 3
c
Option 4
d


Question 9 :
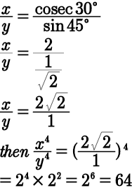
The angles of elevation of the top of a tower from a point A on the ground is 30°. On moving a distance  of 20 metres towards the foot of the tower to a point B, the angle of elevation increases to 60°. The height of the tower is
जमीन पर एक बिंदु A से एक टावर के शीर्ष के उन्नयन कोण 30 डिग्री है। टॉवर के पद की तरफ 20 मीटर की दूरी पर एक बिंदु B तक जाने पर, उन्नयन कोण 60 डिग्री बढ़ जाता है। टावर की ऊंचाई है


img


Option's are: Selection Type : Single Selection
Option 1
a
Option 2
b
Option 3
c
Option 4
d


Question 10 :
A telegraph post is bent at a point above the ground due to storm. Its top just meets the ground at a distance of 8√3 metres from its foot and makes an angle of 30°, then the height of the post is
एक टेलीग्राफ पोस्ट तूफान के कारण जमीन के ऊपर एक बिंदु पर झुका हुआ है। इसका शीर्ष जमीन से पैर से सिर्फ 8√3 मीटर की दूरी पर मिलता है और 30 डिग्री का कोण बनाता है, तो पोस्ट की ऊंचाई है
(a) 16 m
(b) 23 m
(c) 24 m
(d) 10 m

Option's are: Selection Type : Single Selection
Option 1
a
Option 2
b
Option 3
c
Option 4
d




Prem's Career Coaching
Phone No. +91-9302959282, RAIPUR, Chattisgarh