Prem's Career Coaching
Phone No. +91-9302959282, RAIPUR, Chattisgarh

[ Online Quiz ] Maths 14 september 201o
Posted on Sat, 14 Sep 2019, 9:49 AM
प्रिय छात्रों,
     .         आप सभी को यह पता है कि आगामी कुछ दिवस में व्यापम/ रेलवे द्वारा विभिन्न पदों पर परीक्षा आयोजित होने वाली है ,क्योंकि अब आपके पास अधिक समय शेष नहीं है इसलिए आप हमारे द्वारा प्रदान किए गए ,गणित के अधिक से अधिक प्रश्नों का अभ्यास कर अपनी तैयारी को सर्वोत्तम स्तर तक ले जाएं । जिससे कि आप परीक्षा में अधिक से अधिक अंक प्राप्त कर अपनी सफलता सुनिश्चित कर सके। 
Questions Are :-
Question 1 :

Option's are: Selection Type : Single Selection
Option 1
a
Option 2
b
Option 3
c
Option 4
d


Question 2 :

Option's are: Selection Type : Single Selection
Option 1
a
Option 2
b
Option 3
c
Option 4
d


Question 3 :

Option's are: Selection Type : Single Selection
Option 1
a
Option 2
b
Option 3
c
Option 4
d


Question 4 :
If a farmer packs 8 or 11 mangoes in a box, he is left with 5 mangoes. But if he packs 6 or 7 mangoes in each box also he is left with 5 mangoes. Find the no. of mangoes that he had
यदि कोई किसान एक डिब्बे में 8 या 11 आम पैक करता है, तो उसके पास 5 आम बच जाते है। लेकिन अगर वह प्रत्येक डिब्बे में 6 या 7 आम पैक करता है तो भी उसके पास 5 आम बचते हैं। उसके पास आम की कितनी संख्या थी?
(a) 2645
(b) 1853
(c) 2520
(d) 1545

Option's are: Selection Type : Single Selection
Option 1
a
Option 2
b
Option 3
c
Option 4
d


Question 5 :
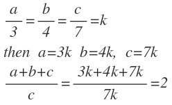
 Radhika sold her bike giving two successive discounts 20% and x%. If marked price of bike is Rs. 800 and she sold it for 560, then find value of x
राधिका ने अपनी बाइक दो क्रमिक छूट 20% और x% पर बेचा। यदि बाइक का चिह्नित मूल्य 800 रूपए था और राधिका ने इसे 560 रूपए के लिए बेच दिया, तो x का मूल्य ज्ञात करें.

Option's are: Selection Type : Single Selection
Option 1
a
Option 2
b
Option 3
c
Option 4
d


Question 6 :
A tower is observed from a point on the horizontal through the foot of the tower. The distance of this point from the foot of the tower is equal to the height of the tower. The angle of elevation of the top of the tower is
एक टावर को उसके आधार के क्षैतिज बिंदु से देखा जाता है. टावर के आधार से इस बिंदु की दूरी टॉवर की ऊंचाई के बराबर है. टॉवर का उन्न्यन्न कोण कितना है?
(a) 60°
(b) 45°
(c) 40°
(d) 30°

Option's are: Selection Type : Single Selection
Option 1
a
Option 2
b
Option 3
c
Option 4
d


Question 7 :
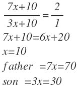
At present ages of a father and son are in the ratio of 7 : 3 and they will be in the ratio 2 : 1 after 10 years. What is the present age of father?
वर्तमान में पिता और पुत्र की आयु का अनुपात 7: 3 है और 10 वर्षों के बाद यह अनुपात 2:1 होगा. पिता की वर्तमान आयु कितनी है?
(a) 70 years/वर्ष
(b) 65 years/वर्ष
(c) 60 years/वर्ष
(d) 50 years/वर्ष

Option's are: Selection Type : Single Selection
Option 1
a
Option 2
b
Option 3
c
Option 4
d


Question 8 :
 John cycling at a constant speed of 10 km/hr., reaches his school in time. If he cycles at a constant speed of 15 km/hr., he reaches his school 12 minutes early. Number of km he has to cycle for his school is :
जॉन 10 किमी/घंटा की स्थिर गति से साइकिल चलाते हुए, समय पर अपने स्कूल तक पहुंचता है. यदि वह 15 किमी/घंटा की स्थिर गति से साइकिल चलाता, तो वह 12 मिनट पहले अपने स्कूल तक पहुंच जाता है. उसे अपने स्कूल तक जाने के लिए कितनी किमी तक साइकिल चालानी है?
(a) 4
(b) 6
(c) 9
(d) 12

Option's are: Selection Type : Single Selection
Option 1
a
Option 2
b
Option 3
c
Option 4
d


Question 9 :
9. Two pipes A and B can separately fill a tank in 2 hours and 3 hours respectively. If both the pipes are opened simultaneously in the empty tank, then the tank will be filled in
दो पाइप A और B एक टैंक को व्यक्तिगत रूप से क्रमश: 2घंटे और 3घंटे में भर सकते हैं. यदि दोनों पाइप को एकसाथ खोला जाता है, तो टैंक को भरने में कितना समय लगेगा?
(a) 1 hour 12 minutes
(b) 2 hours 30 minutes
(c) 1 hour 15 minutes
(d) 1 hour 20 minutes

Option's are: Selection Type : Single Selection
Option 1
a
Option 2
b
Option 3
c
Option 4
d


Question 10 :
10. Having the same capacity 9 taps fill up a water tank in 20 minutes. How many taps of the same capacity are required to fill up the same water tank in 15 minutes?
समान क्षमता वाले 9 नल 20मिनट में एक पानी के टैंक को भरते हैं. 15 मिनट में उसी पानी के टैंक भरने के लिए समान क्षमता वाले कितने नालों कि आवश्यकता होगी?
(a) 10
(b) 12
(c) 15
(d) 18

Option's are: Selection Type : Single Selection
Option 1
a
Option 2
b
Option 3
c
Option 4
d




Prem's Career Coaching
Phone No. +91-9302959282, RAIPUR, Chattisgarh