Prem's Career Coaching
Phone No. +91-9302959282, RAIPUR, Chattisgarh

[ Online Quiz ] Maths
Posted on Sat, 7 Sep 2019, 11:18 AM
प्रिय छात्रों,
             आप सभी को पता है छत्तीसगढ़ लोक सेवा आयोग , Railway, Cgvyapam, Banking एवं अन्य विभागों द्वारा विभिन्न पदों पर विज्ञापन प्रकाशित किया जा चुका है . इसका मतलब आगामी कुछ महीनों में सभी की परीक्षाएं संभावित है और सभी परीक्षाओं में Maths के प्रश्न पूछे जाएंगे. अतः हम आपके लिए प्रतिदिन Maths से जुड़े 20 प्रश्न उपलब्ध कराएंगे .आप इन प्रश्नों का निरंतर अभ्यास करते रहिए और अपनी सफलता सुनिश्चित करें
Questions Are :-
Question 1 :
1.Rohit walks at 17 km/hr and Ruchira cycles at 22 km/hr towards each other. What was the distance between them when they started if they meet after 44 minutes?
रोहित 17कि.मी/घंटा पर चलता है और रुचिरा 22कि.मी/घंटा पर साइकिल चलाती है और वे एकदूसरे कि ओर बढ़ रहे हैं. यदि वे 44 मिनट बाद मिलते हैं तो आरम्भ में उनके मध्य कि दूरी कितनी थी?
(a) 42.9 km
(b) 35.8 km
(c) 21.5 km
(d) 28.6 km

Option's are: Selection Type : Single Selection
Option 1
A
Option 2
B
Option 3
C
Option 4
D


Question 2 :
2. 20% discount is offered on an item. By applying a promo code the customer wins 10% cash back. What is the effective discount?
एक वास्तु पर 20% कि छूट दी जाती है. एक प्रोमो कोड लगाने पर कस्टमर 10% कैश बेक जीतता है. प्रभावी छूट क्या है?
(a) 30.8 percent
(b) 30 percent
(c) 12 percent
(d) 28 percent

Option's are: Selection Type : Single Selection
Option 1
A
Option 2
B
Option 3
C
Option 4
D


Question 3 :
3.Reduce 2530/1430 to lowest terms. 

2530/1430 को न्यूनतम पदों तक कम कीजिये. 
(a) 47/17
(b) 23/13
(c) 47/19
(d) 29/17



Option's are: Selection Type : Single Selection
Option 1
A
Option 2
B
Option 3
C
Option 4
D


Question 4 :
4.The first and last terms of an arithmetic progression are 32 and –43. If the sum of the series is –88, then it has how many terms?
एक अंकगणितीय प्रगति के पहले और अंतिम पद 32 और -43 हैं. यदि श्रंखला का योग -88 है, तो इसमें कितने पद है?
(a) 16
(b) 15
(c) 17
(d) 14

Option's are: Selection Type : Single Selection
Option 1


Question 5 :
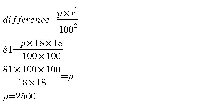
5.The difference between simple and compound interests compounded annually on a certain sum of money for 2 years at 18% per annum is Rs 81. The sum is ____.
2 वर्षों के लिए 18% प्रति वार्षिक की दर से निश्चित राशि पर, संयोजित होने वाले साधारण और चक्रवृद्धि ब्याज के बीच का अंतर 81 रु है. योग है____ 
(a) Rs 2500
(b) Rs 5000
(c) Rs 10000
(d) Rs 7500

Option's are: Selection Type : Single Selection
Option 1


Question 6 :
6. If a farmer packs 8 or 11 mangoes in a box, he is left with 5 mangoes. But if he packs 6 or 7 mangoes in each box also he is left with 5 mangoes. Find the no. of mangoes that he had
यदि कोई किसान एक डिब्बे में 8 या 11 आम पैक करता है, तो उसके पास 5 आम बच जाते है। लेकिन अगर वह प्रत्येक डिब्बे में 6 या 7 आम पैक करता है तो भी उसके पास 5 आम बचते हैं। उसके पास आम की कितनी संख्या थी?
(a) 2645
(b) 1853
(c) 2520
(d) 1545

Option's are: Selection Type : Single Selection
Option 1
A
Option 2
B
Option 3
C
Option 4
D


Question 7 :
7.Radhika sold her bike giving two successive discounts 20% and x%. If marked price of bike is Rs. 800 and she sold it for 560, then find value of x
राधिका ने अपनी बाइक दो क्रमिक छूट 20% और x% पर बेचा। यदि बाइक का चिह्नित मूल्य 800 रूपए था और राधिका ने इसे 560 रूपए के लिए बेच दिया, तो x का मूल्य ज्ञात करें.

Option's are: Selection Type : Single Selection
Option 1
A
Option 2
B
Option 3
C
Option 4
D


Question 8 :
8.. What profit/loss percent did Ravi earn if he purchased an item of Rs.5,600 and sold it at three-fourth of its cost price?
 

अगर रवि ने 5,600 रूपए की एक वस्तु खरीदी और उसे अपने क्रय मूल्य के तीन-चौथाई हिस्से पर बेचा, तो उसके द्वारा अर्जित लाभ/ हानि प्रतिशत ज्ञात करें?
(a) Loss of 20 percent
(b) Gain of 25 percent
(c) Neither gain or loss
(d) None of these


Option's are: Selection Type : Single Selection
Option 1
A
Option 2
B
Option 3
C
Option 4
D


Question 9 :
9.The owner of a cell phone shop charges his customer 23% more than the cost price. If a customer paid Rs.7,011 for a cell phone, then what was the cost price of the cell phone?

मोबाइल फ़ोन की दुकान का मालिक अपने ग्राहक से क्रय मूल्य से 23% अधिक शुल्क लेता है। अगर किसी ग्राहक ने मोबाइल फ़ोन के लिए 7,011 रूपए का भुगतान किया, तो मोबाइल फ़ोन की कीमत क्या थी?
(a) Rs.5,845
(b) Rs.6,750
(c) Rs.5,900
(d) Rs.5700


Option's are: Selection Type : Single Selection
Option 1
A
Option 2
B
Option 3
C
Option 4
D


Question 10 :
10. The cost price of 16 articles is the same as the selling price of 12 articles. Find the loss/profit percentages.

16 वस्तुओं का क्रय मूल्य 12 वस्तुओं के विक्रय मूल्य के समान है। हानि / लाभ प्रतिशत का पता लगाएं।
(a) 30%
(b) 32.50%
(c) 100/3%
(d) 40%


Option's are: Selection Type : Single Selection
Option 1
A
Option 2
B
Option 3
C
Option 4
D




Prem's Career Coaching
Phone No. +91-9302959282, RAIPUR, Chattisgarh